Affidavit Of Loss Id Template Word Philippines. An affidavit of identity is a type of legal document that's made for verification purposes. AFFIDAVIT OF LOSS I, JOEBERTO E.
The person who needs to sign this document receives the title of "affiant." That I am executing this affidavit to attest to the truth of foregoing facts and to inform the proper authorities concern and for whatever legal purpose this affidavit may serve.
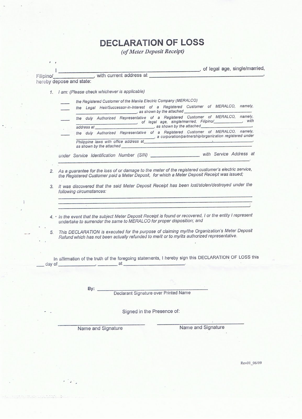
Writing an affidavit of loss is easy enough, but if you want to sound professional, you may want to download this template instead.
Embassy of the philippines. ) s. s. That information may include a serial number or the security's date of issue. Affidavit example philippines - ceap retirement plan.

